
超聲波流量計(UltrasonicFlowmeter) 是通過檢測流體流動時對超聲波(超聲脈沖)的作用,以測量體積流量的儀表。超聲波流量計具有如下主要特點:被測流體中不插入其他元件,對流速無影響,也沒 有壓力損失;能用于其他液體,特別是具有高黏度、強腐蝕,非導電性等性能的液體的流量測量,也能測量氣體的流量;對于大口徑管道的流量測量,不會因管徑大 而增加投資;量程比較寬,可達5∶1;輸出與流量之間呈線性等。
由于這些獨特的優點,超聲波流量計的發展非常迅速,已經成為常用的流量計之一,其應用領域日益擴大,具有相當好的發展前景。
超聲波流量計的檢測原理包括兩種:時差法和多普勒法。目前,市場上zui常用的超聲波流量計為時差法超聲波流量計。多普勒法超聲波流量計由于對被測介質要求較高,存在一定的局限性。下面就分別介紹這兩種超聲波流量計的檢測原理與選型應用。
1 時差法超聲波流量計的工作原理
如圖1所示,為管道式安裝的超聲波流量計測量時的示意圖,可以清楚的表示出超聲波在傳感器探頭A和B之間的管道內傳播的簡化幾何關系。其中,超聲波傳播的聲道與管道的軸線間夾角為β,管徑為D。

超聲波穿過管道如同渡船過河流,如果管道內沒有液體流動,超聲波將以相同的速度向兩個方向傳播。當管道中的流體流速不為零時,沿流動方向順 流傳播的超聲波將加快速度,而逆流傳播的超聲波將變緩慢。因此,相對于沒有流體流動的情況,當管道中存在流體流動時,順流傳播的時間tD將縮短,逆流傳播的時間tU將增長。根據這兩個傳播時間差,就可以計算出管道中流體流速。這就是時差法超聲波流量計的基本測量原理。

圖1 時差法超聲波流量計測量示意圖
在圖1中,有下面的關系成立:
(1)
(2)
將以上式(1)和式(2)聯立并解之,可得:
(3)
式中 L—超聲波在還能器之間的傳播路徑長度,m;
X—聲道長度在管軸線的平行線上的投影長度,m;
tD,tU—超聲波順流傳播時間和逆流傳播時間,s;
C—超聲波在靜止流體中的傳播速度,m/s;
Vm—流體通過換能器之間聲道上的平均流速,m/s。
其實,式(3)中計算得到的流速還只是沿聲道傳播方向的流體速度的平均值。而用戶想知道的是管道橫截面上的平均流速V。由Vm計算V,一般會引入一個速度分布校準系數Kc,即可得:
V=KcVm (4)
式中 V—管道橫截面上的平均流速,m/s;
Vm—流體通過換能器之間聲道上的平均流速,m/s。
Kc—速度分布校準系數。
Kc的數值主要取決于流體的雷諾數。如果聲道在通過管道軸線的平面內,則由式(5)給出Kc的一個近似值:
(5)
式中 ReD—流體的雷諾數;
對于充分發展的紊流,如果聲道不在通過管道軸線的平面內(即傾斜的弦線),這Kc系數及它與雷諾數的關系都將不同。
2 多普勒法超聲波流量計工作原理
多普勒(效應)法是利用聲學多普勒原理確定流體流量的。多普勒效應是當聲源和目標之間有相對運動時,會引起聲波在頻率上的變化。這種頻率變化正比于運動的目標和靜止的發射換能器之間的相對速度。圖2是多普勒流量計測量時的示意圖。

圖2 多普勒法超聲波流量計測量示意圖
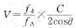
如圖2所示,超聲波流量計的傳感器探頭A和B安裝在管道外,其中A為發射探頭,B為接受探頭。A向流體發出頻率為fA的連續超聲波,經照射域內液體中散射體懸浮顆粒或氣泡散射,散射的超聲波產生多普勒頻移fd,探頭B接收到頻率為fB的超聲波,可知:
(6)
式中 V—散射體運動的速度,m/s;
C—超聲波在靜止流體中的傳播速度,m/s;
θ—聲道角。
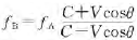
由于液體的聲速為1500m/s左右,被測流速僅僅為每秒數米,即C遠遠大于V,由此式(6)可以簡化為:
(7)
多普勒頻移fd正比于散射體流動速度,即:
(8)
由式(8)可知,
(9)
多普勒超聲波流量計就是通過以上原理測量管道中流體流速的。
上一篇:電導率影響因素
下一篇:腐蝕性介質與流量計之間的利害